Normative values of vertical jump (VJ) and sit-and-reach (SR) for Chinese general population
已发布 01 十一月, 2023
Muscle fitness is a crucial component of health-related fitness, playing a fundamental role in the maintenance of overall well-being and the preservation of regular physical mobility in individuals. The assessment of physical fitness and muscular function can be done through tests such as vertical jump (VJ) and sit-and-reach (SR) assessments. However, until recently, there have been very few studies investigating the normative value of these tests, with most of the research focusing on English and Canadian adolescents or young adults in North America, and most being athletes.
To address this gap, a team of researchers from China conducted a study to establish age- and gender-specific percentile normative values for VJ and SR tests within a diverse, unselected Chinese population, spanning a wide age spectrum.
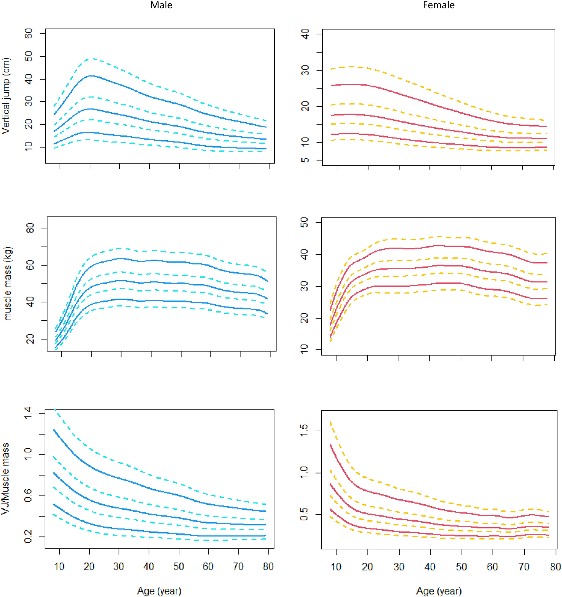
The interdisciplinary research team found that in males, VJ values exhibited an upward trajectory, reaching a peak at around the age of 18, with the 5th and 95th percentile values being 17.7 cm and 41.3 cm, respectively. Subsequently, following this peak, VJ values gradually declined with increasing age. In females, VJ values remained relatively stable from childhood to early adulthood and then declined after the age of 30. The peak values of SR were observed in early adulthood for both sexes, remaining stable in females but declining with age in males.
The findings were published in the KeAi journal Global Transitions.
Huijing He, Associate Professor in the Department of Epidemiology and Statistics at the Institute of Basic Medical Sciences, Chinese Academy of Medical Sciences, and the study’s lead author, explained, "Overall, we found that muscle fitness trajectories differ between sexes and change with age. In general, VJ and SR values decline with age, especially in males."
Expanding on the findings, she added, "This study represents a pioneering effort in examining the normative standards for vertical jump and sit-and-reach tests within a Chinese population. These established benchmarks serve as valuable tools for gauging the progression and maturation of muscle function, offering a means to proactively detect health-related issues by identifying deviations from normal muscle fitness levels. Consequently, our data provides a unique opportunity to assess changes in muscle fitness across all ages and genders.”

Contact author name, affiliation, email address: Guangliang Shan, Department of Epidemiology and Statistics, Institute of Medical Sciences, Chinese Academy of Medical Sciences, Beijing, China, guangliang_shan@163.com .
Funder: This work was supported by the Key Basic Research Program of the Ministry of Science and Technology of China (2013FY114100), the National Key R&D Program of China (2016YFC0900601), and CAMS Innovation Fund for Medical Sciences (CIFMS) (2020-I2M-2-009, 2021-I2M-1-023).
Conflict of interest: Guangliang Shan and Huijing He are editorial board members for Global Transitions and were not involved in the editorial review or the decision to publish this article. All authors declare that there are no competing interests.
See the article: He, H., et al., The normative values of vertical jump and sit-and-reach in a large general Chinese population aged 8e80 years: The China National Health Survey, Global Transitions, 5 (2023), 141-148. https://doi.org/10.1016/j.glt.2023.08.003