Effects of Formulated Diets on Muscle Quality and Fiber Characteristics of Largemouth Bass
Published 24 July, 2023
The largemouth bass (Micropterus salmoides) is a perciform species native to the United States. It was introduced to China in 1983 and has since become extensively cultivated worldwide as a commercially valuable fish. In China alone, annual production levels of largemouth bass have exceeded 470,000 tons.
In traditional commercial aquaculture practices, largemouth bass has historically been cultured using forage fish. However, there has been a shift towards the use of formulated diets to reduce reliance on bait fish and lower production costs. Nonetheless, the impact of these formulated diets on the nutritional content and muscle quality of largemouth bass, as well as the underlying mechanisms involved, remains unclear.
In a recent publication in the KeAi journal Reproduction and Breeding, a team of Chinese researchers in the field of genetic breeding have shed light on the impact of replacing forage fish with formulated diets on largemouth bass. The study highlighted significant changes in muscle quality and fiber characteristics as a result of this dietary shift.
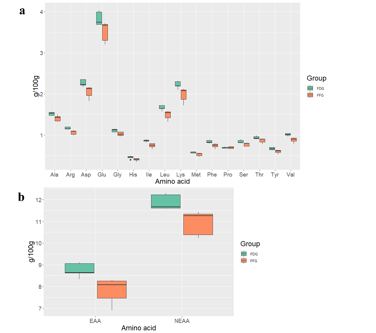
"Our findings indicate that although largemouth bass fed with formulated diets exhibited a lower rate of weight gain, they displayed a notable increase in crude protein content within their muscle tissues, as determined through compositional evaluation,” shares Dongmei Ma, corresponding author of the study.
Through a comparative analysis of transcriptomes specifically constructed for muscle tissues, the researchers successfully identified pathways that showed significant enrichment in amino acid metabolism.
The study revealed through microsection observation that largemouth bass fed with formulated diets exhibited a larger diameter of muscle fibers compared to those fed with forage fish. "The alteration in fiber characteristics could be attributed to the upregulation of pathways associated with muscle development and an increased expression level of genes encoding collagen, fibronectin, and laminin. These factors promote the proliferation of myoblasts and collagen fibrillogenesis.” Explains Ma.
The study contributes valuable insights into the understanding of muscle fiber changes and provides potential avenues for optimizing the nutritional aspects and meat quality of largemouth bass.

Image: Comparison of amino acid content between formulated diets group (FDG) and forage fish group (FFG).
Contact author details: Dongmei Ma, Pearl River Fisheries Research Institute, Chinese Academy of Fishery Sciences, Guangzhou, China. mdm@prfri.ac.cn
Funder: This work was supported by grants from the National Natural Science Foundation of China (31001107) and the Central Public-interest Scientific Institution Basal Research Fund, CAFS (2017HY-ZC04).
See the article: Zhong, Z., Ma, D., et al. Proximate compositions evaluation, histology and transcriptome analysis revealed the effects of formulated diets on muscle quality in Micropterus salmoides, Reproduction and Breeding, Volume 3, Issue 2, 2023, Pages 50-58, https://doi.org/10.1016/j.repbre.2023.04.002.